Contoh Surat Kebenaran Penggunaan Kenderaan
Sop Guna Kenderaan Sendiri Bawa Murid Untuk Urusan Rasmi Mengikut Spi Bil 3 2019 Munaz Bagus
Doc Surat Kebenaran Bawa Kereta Zaharah Harun Academia Edu
Surat Kebenaran Menggunakan Kenderaan Sendiri Kpm
Borang Kebenaran Menggunakan Kenderaan Sendiri Kpm
Borang Kebenaran Menggunakan Kenderaan
Surat Kebenaran Menggunakan Kenderaan
Borang Lampiran Iii
Borang Kebenaran Penggunaan Kenderaan Sendiri Oleh Guru Untuk Membawa Murid Bagi Urusan Rasmi Kementerian Pendidikan Malaysia Kpm Converted
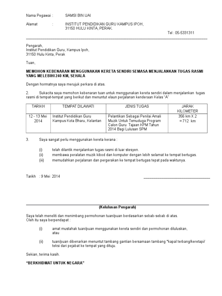
Kebenaran Kenderaan Lebih 240 Km